Blog do Enem: simplificado como deve ser |
- Revise os transportes passivos: osmose e difusão – Biologia Enem
- Organelas celulares: Revise com aula da Khan Academy! – Biologia Enem
- Progressão Aritmética (PA) – Revisão de Matemática Enem e Vestibular
| Revise os transportes passivos: osmose e difusão – Biologia Enem Posted: 22 Mar 2016 09:16 PM PDT Biologia Enem: A membrana plasmática desenha a fronteira da célula, funcionando como a muralha de um castelo, que reveste e delimita, protege e seleciona o que entra e sai por seus "muros". A esta propriedade damos o nome de "permeabilidade seletiva".Para que as substâncias sejam "escolhidas", a membrana irá dispor de diferentes métodos de transporte através de sua estrutura, como a osmose e a difusão. Este assunto pode ser cobrado de diferentes maneiras no Enem e nos vestibulares. Portanto, é imprescindível que você tenha uma boa noção do funcionamento de cada tipo de transporte através da membrana. Então, vamos estudá-los? Vem com a gente gabaritar as questões de Biologia! Dica 1: Quer relembrar a estrutura da membrana plasmática? Então veja este post: http://blogdoenem.com.br/biologia-organelas-celulares-revise-aula-khan-academy/A membrana plasmática é formada por uma bicamada de fosfolipídios permeada por proteínas. Portanto, a maior parte da membrana é formada por lipídeos, que você deve lembrar são apolares e hidrofóbicos. Estas propriedades são muito interessantes para a membrana, pois permitem a formação dessa "barreira" que delimita a célula. Porém, substâncias que são solúveis em água – polares e hidrofílicas, não conseguem passar por essa dupla camada de lipídeos. Dessa maneira, apenas passam por entre os lipídeos da membrana substâncias que se dissolvem bem na gordura e moléculas muito pequenas (como o gás carbônico e o oxigênio e também a água que, apesar de ser uma substância polar, é muito pequena e assim consegue passar). Já moléculas grandes, como glicose, aminoácidos, nucleotídeos e sais minerais precisam passar por "portões" – as proteínas. Figura 1: Fotomicrografia de membrana plasmática obtida através de microscópio eletrônico de transmissão. Cortando a imagem em diagonal vemos a membrana plasmática, onde podemos ver as duas camadas de fossolipídios. Crédito da imagem: Don W. Fawcett / Photo Researchers / Universal Images Group.
Figura 2: Desenho esquemático da membrana plasmática. Nele podemos visualizar as proteínas transmembrana que funcionam como portões para a passagem de moléculas grandes. Créditos da imagem: Phototake / Universal Images Group
O transporte dessas substâncias pode ser feito com ou sem gasto de energia. Quando a célula não gasta energia para transportar substâncias através da membrana, dizemos que ela realizou um transporte passivo. Este é o caso da osmose, da difusão e da difusão facilitada. Já na bomba de sódio e potássio, que transporta estes íons de uma lado a outro da membrana contra um gradiente de concentração, a célula precisa gastar energia. A este transporte damos o nome de transporte ativo. Neste post estudaremos o transporte passivo. Transporte passivo:– Osmose: Osmose é a passagem de água de um meio menos concentrado para outro mais concentrado através de uma membrana semipermeável (como a membrana plasmática), buscando igualar as concentrações de ambos os ambientes (como o meio interno e externo de uma célula). Sempre que houver diferença de concentração entre o meio externo e interno da célula, a água se moverá da região menos concentrada para a mais concentrada naturalmente. Neste caso, classificamos de "hipertônica" a região que contém uma solução mais concentrada. Já a menos concentrada é chamada de "hipotônica". Quando ambos os lados da membrana encontram-se com soluções com a mesma concentração, chamamos ambas as soluções de "isotônicas". Se uma célula animal for colocada em uma solução hipertônica, esta célula realizará um processo de osmose e a água presente dentro da célula irá passar para o meio externo, como o objetivo de igualar as concentrações. Nesse caso, a célula ficará enrugada, fenômeno chamado de crenação. Figura 3: Fotomicrografia de hemácias feita com microscópio eletrônico de varredura e coloridas artificialmente. Na imagem você vê algumas hemácias com as bordas enrugadas (crenadas) após serem colocadas em uma solução hipertônica. Créditos da imagem: STEVE GSCHMEISSNER / SCIENCE PHOTO LIBRARY / Universal Images Group
Se a solução for hipotônica, a célula irá absorver cada vez mais água e poderá estourar, em um processo chamado de plasmoptise. No caso das células vegetais, se elas forem colocadas em um meio hipotônico, suas células também absorverão muita água, porém, como elas possuem paredes celulares isto impedirá que elas estourem. Já em meio hipertônico, as células vegetais irão murchar e se separar da parede celular em um processo chamado de plasmólise. Figura 4: Fotomicrogafia de células de cebola em meio hipertônico feitas com microscópio óptico. Você pode observar nesta imagem que as células (em vermelho) se desgrudaram da parede celular após perderem muita água através do processo de osmose (quando colocadas em um meio hipertônico). Este processo se chama plasmólise. Créditos da imagem: Michael Abbey / Photo Researchers / Universal Images Group
Onde podemos notar a osmose? Explorar a natureza e realizar "experimentos" com os bichinhos são coisas típicas da infância. Então, você (ou um amigo) seu provavelmente já fizeram a travessura de colocar sal em uma lesma, certo? Logo depois você ficou com seu coração partido de ver o bichinho de contorcendo e se esvaindo em água. Acontece que ao colocar sal, o meio externo da lesma ficou hipertônico e, como a lesma tem a pele muito fina e a relação de suas superfícies externa e interna é muito pequena, suas células logo sofreram osmose. O mesmo ocorre conosco quando vamos tomar banho de mar. As extremidades de nossos dedos ficam murchas, pois sofrem osmose. Como nossa pele é queratinizada e nosso corpo é muito mais espesso, nós não nos iremos "derreter" como a lesma, porém, nossas células ficam por um tempo desidratadas. Figura 5: Esquema demonstrando a osmose. A concentração de solutos no lado B gera pressão osmótica no lado A. Assim, a água passa através da membrana semipermeável para igualar as concentrações de soluto de ambos os lados. Note que no esquema A o nível de solução do lado B está maior que do lado A, pois este lado recebeu água através da osmose.
-Difusão: A difusão é a capacidade que moléculas de gases e de solutos muito pequenos dissolvidos em água têm de passar pela membrana plasmática e se espalhar uniformemente pelo espaço disponível. Neste caso, as moléculas de soluto irão passar do meio mais concentrado para o menos concentrado, movendo-se a favor de um gradiente de concentração. Isto ocorre, por exemplo, durante a hematose, momento em que nossas células vermelhas – as hemácias – trocam oxigênio e gás carbônico com os tecidos ou com os pulmões. Quando as hemácias vêm dos tecidos em direção aos pulmões estão carregadas de gás carbônico, assim como o plasma sanguíneo. Ao passar pelos alvéolos, que possuem grande concentração de oxigênio, elas vão liberar o gás carbônico (pois elas estão mais concentradas, por isso o CO2 irá migrar para os alvéolos que possuem baixa concentração desse gás) e irão absorver o oxigênio, uma vez que seu citoplasma possui menor concentração do gás que seu meio externo. Figura 6: Esquema demonstrando a difusão. Os solutos (em vermelho) passam do meio mais concentrado para o menos concentrado, a favor de um gradiente de concentração.
– Difusão facilitada: A difusão facilitada é a passagem de substâncias que não se dissolvem em lipídios através da membrana com a ajuda das proteínas que permeiam a bicamada lipídica. A difusão facilitada também é considerada um transporte passivo (apesar da "ajudinha" que as proteínas dão), pois é um transporte que ocorre a favor de um gradiente de concentração – do meio mais concentrado para o menos concentrado. Esse transporte ocorre, por exemplo, com a glicose e, principalmente, com íons, que, apesar do seu tamanho diminuto, possuem carga elétrica – o que dificulta sua passagem pelos lipídios. Esse transporte é feito por proteínas que atravessam a membrana plasmática e podem ser classificadas em dois tipos: carreadoras, que mudam de forma durante o transporte, ou canais, proteínas que formam espécies de túneis através da membrana. Figura 7: Esquema de difusão facilitada. Nele podemos ver uma proteína carreadora transportando uma molécula não solúvel.
Agora que você já sabe tudo sobre transporte passivo, que tal ver uma videoaula para finalizar sua revisão? Então veja este vídeo do canal "Me Salva", do Youtube: https://www.youtube.com/watch?v=Zqrtlwd5mZ0
Então, aprendeu um pouco mais sobre o assunto? Ótimo! Agora, para testar seus conhecimentos, que tal resolver alguns exercícios?
01- (UEPA/2014) As sensações, sentimentos, pensamentos, respostas motoras e emocionais, a aprendizagem e a memória, resultam do processo de comunicação entre as células nervosas, os neurônios, que continuamente coletam informações sobre o estado interno do organismo e de seu ambiente externo. Estas células possuem a habilidade de processarem informações que controlam o fluxo de substâncias do meio intracelular (íons sódio, potássio, etc.) e realizam os processos de difusão e osmose em suas membranas. Adaptado de http://www.cerebromente.org.br/n10/fundamentos/ pot2.htm Segundo o texto, a comunicação entre essas células ocorre por meio de processo: a) passivo com desprendimento de energia como a difusão e a osmose. b) ativo sem desprendimento de energia como a Bomba de sódio e potássio. c) passivo como a difusão, a osmose e a Bomba de sódio e potássio. d) ativo como a Bomba de sódio e potássio e processo passivo como a difusão e a osmose. e) ativo como a difusão e bomba de sódio e potássio e processo passivo como a osmose.
Gab: D
02 – (IFGO/2013) O bacalhau, cuja carne é submetida ao processo de salgamento, para sua conservação, é um dos principais pratos da culinária portuguesa e também muito apreciado pelos brasileiros. Ele pode ser preparado de diversas formas, mas geralmente são colocadas batatas para deixar o prato menos salgado.
Analise as afirmativas a seguir, a respeito do processo ocorrido durante o preparo do bacalhau. I. O sal passa para a batata por difusão. II. O sal passa para a batata por osmose. III. O amido da batata se dissolve, adoçando o bacalhau. IV. O sal passa para a batata por transporte ativo.
Está(ão) correta(s): a) Somente a afirmativa I. b) Somente a afirmativa II. c) Somente a afirmativa III. d) Somente as afirmativas I, II e III. e) Somente as afirmativas II, III e IV.
Gab: A
03 – (FGV/2012) A figura ilustra a maneira como certas moléculas atravessam a membrana da célula sem gastar energia, o que é denominado transporte __________. Tal processo ocorre __________ gradiente de concentração e é utilizado para a passagem de __________.
(http://picasaweb.google.com)
Assinale a alternativa que completa, correta e respectivamente, as lacunas da oração.
a) facilitado … independentemente do … micromoléculas b) passivo … a favor do … aminoácidos e monossacarídeos c) ativo … contra o … íons d) fagocitário… na presença de … polissacarídeos e) celular … na ausência de … peptídeos
Gab: B
04 – (UNESP SP/2012) Dona Júlia iria receber vários convidados para o almoço do domingo, e para isso passou boa parte da manhã lavando vários pés de alface para a salada. Para manter as folhas da alface tenras e fresquinhas, dona Júlia manteve-as imersas em uma bacia com água filtrada. Contudo, ao final de um bom tempo com as mãos imersas na água, a pele dos dedos de dona Júlia, ao contrário das folhas de alface, se apresentava toda enrugada.
Folha de alface tenra por permanecer na água, e detalhe de dedo enrugado por contato prolongado com a água.
Considerando a constituição da epiderme e as diferenças entre as células animal e vegetal, explique por que as folhas da alface permanecem tenras quando imersas na água e por que a pele humana se enruga quando em contato prolongado com a água.
Gab: O fato de as folhas de alface permanecerem mergulhadas em água garante, em primeiro lugar, a não ocorrência de transpiração; em certa medida, há ainda absorção de água, por osmose, pelas células do alface, que são hipertônicas em relação ao meio em que estão mergulhadas, tendendo à turgescência, garantida pela presença da membrana celulósica. Quanto à pele humana, ela se enruga devido à hidratação da queratina, camada superficial, morta, da epiderme.
05 – (UCS RS/2012) Para entender as propriedades da membrana celular e o processo de osmose, um biólogo realizou o experimento descrito a seguir. Três conjuntos de hemácias foram expostos a três diferentes soluções, conforme descrito abaixo. A– O primeiro conjunto foi exposto a uma solução isotônica em relação ao líquido intracelular das hemácias. B– O segundo conjunto foi exposto a uma solução hipotônica em relação ao líquido intracelular das hemácias. C– O terceiro conjunto foi exposto a uma solução hipertônica em relação ao líquido intracelular das hemácias.
Assinale a alternativa correta, que corresponde aos resultados desse experimento.
a) As hemácias mantêm sua forma e seu volume, pois são impermeáveis à água. b) As hemácias mantêm sua forma e seu volume somente quando expostas à solução hipertônica. c) As hemácias murcham quando expostas à solução isotônica. d) As hemácias incham quando expostas à solução hipotônica. e) As hemácias incham quando expostas à solução isotônica.
Gab: D
06 – (OBB/2012) Como funciona a necropsia O cenário é uma mistura de hospital com cozinha. E o procedimento para descobrir a causa de uma morte por acidente ou violência leva até 4 horas
Após o reconhecimento feito por familiares, o corpo é identificado com o número do RG ou do boletim de ocorrência e são coletadas as impressões digitais. As roupas e os projéteis são encaminhados para exames balísticos. O corpo é pesado e lavado com água e sabão.
É preciso abrir crânio, tórax e abdome. A primeira incisão é no crânio, com uma serra no couro cabeludo. A próxima, para acesso ao tórax e abdome, vai da altura do pescoço ao púbis, em forma de Y (os cortes em T e I são menos usados, pois deixam marcas no pescoço).
Cérebro, coração, pulmões, estômago, pâncreas e outros órgãos são pesados, medidos e examinados. Um pulmão mais pesado, por exemplo, pode estar cheio de água e indicar afogamento. Pontos vermelhos sugerem asfixia. Massa encefálica espalhada é sinal de que ocorreu fratura no crânio, provavelmente por algum trauma na cabeça, como uma pancada. Órgãos pálidos revelam hemorragia, pois a irrigação sanguínea foi comprometida.
Depois de analisados, os órgãos são inseridos no abdome. Nada é colocado como antes, mas “jogado” dentro do corpo e costurado com uma linha grossa. Por ser muito mole, não é possível recolocar o cérebro na cabeça, pois ele escorreria pela fenda aberta no crânio. (Fonte:Superinteressante – Dezembro de 2011)
Em uma vítima de hemorragia, é muito comum a aplicação de uma solução salina popularmente conhecida como salgadão (solução hipertônica de cloreto de sódio à 7,5%) a fim de se evitar o choque hipovolêmico. Esta solução objetiva: a) aumentar a atuação plaquetária b) aumentar a concentração de vitamina K c) aumentar a concentração de cálcio d) tornar o sangue hipotônico em relação aos tecidos e) aumentar a pressão osmótica sanguínea
Gab: E
07 – (UFPR-2006) Abaixo, pode-se observar a representação esquemática de uma membrana plasmática celular e de um gradiente de concentração de uma pequena molécula "X" ao longo dessa membrana. Com base nesse esquema, considere as seguintes afirmativas:
I. A molécula "X" pode se movimentar por difusão simples, através dos lipídios, caso seja uma molécula apolar. II. A difusão facilitada da molécula "X" acontece quando ela atravessa a membrana com o auxílio de proteínas carreadoras, que a levam contra seu gradiente de concentração. III. Se a molécula "X" for um íon, ela poderá atravessar a membrana com o auxílio de uma proteína carreadora. IV. O transporte ativo da molécula "X" ocorre do meio extracelular para o citoplasma.
Assinale a alternativa correta.
a) Somente as afirmativas I e III são verdadeiras. b) Somente as afirmativas I e II são verdadeiras. c) Somente as afirmativas II e IV são verdadeiras. d) Somente as afirmativas I, III e IV são verdadeiras. e) Somente a afirmativa III é verdadeira.
Gab: A
08 – (UFRN-1998) As hemácias de mamíferos são isotônicas, quando comparadas a uma solução salina de NaCl a 0,9%. Tais hemácias, colocadas em uma solução com concentração de 0,2% de NaCl, sofrem
a) diálise com hemólise. b) osmose sem hemólise. c) osmose com hemólise. d) diálise sem hemólise
Gab: C
Dica 2: Quer treinar seus conhecimentos em Biologia? Baixe esta apostila de biologia gratuitamente! http://blogdoenem.com.br/biologia-enem-apostila-gratuita/Dica 3: Precisa revisar mais conteúdos de biologia? Veja os vídeos de Biologia da Khan Academy já traduzidos para o Português pela equipe da Fundação Lemann no http://www.fundacaolemann.org.br/khanportugues/#videosOs textos e exemplos acima foram preparados pela professora Juliana Santos para o Blog do Enem. Juliana é formada em Ciências Biológicas pela Universidade Federal de Santa Catarina. Dá aulas de Ciências e Biologia em escolas da Grande Florianópolis desde 2007. Facebook: https://www.facebook.com/juliana.evelyndossantos. O post Revise os transportes passivos: osmose e difusão – Biologia Enem apareceu primeiro em Blog do Enem. |
| Organelas celulares: Revise com aula da Khan Academy! – Biologia Enem Posted: 22 Mar 2016 08:51 PM PDT Biologia Enem: Os seres procariontes, cujo DNA encontra-se misturado ao citoplasma, possuem uma única organela citoplasmática – os ribossomos, que produzem proteínas. O fato de não terem organelas para regionalizarem e organizarem cada uma das funções celulares faz com que seu tamanho seja bastante reduzido, figurando entre as menores células existentes.Já os eucariontes, cujo DNA encontra-se organizado dentro de uma membrana – a carioteca, possuem várias organelas celulares, a maioria formada basicamente de bolsas membranosas que setorizam as funções da célula. Esta organização permite que estas células sejam um pouco maiores e se especializem em determinadas funções dentro do organismo dos pluricelulares. Você conhece as diferentes organelas celulares e suas funções? Não? Então vem com a gente! E arrase nas questões de Biologia do Enem e dos vestibulares! Estruturas básicas de uma célula:As estruturas básicas de uma célula eucarionte, como você deve se lembrar, são: membrana plasmática, citoplasma e núcleo. – Membrana Plasmática: A membrana plasmática corresponde a uma película limitante que mantém separada do meio externo a estrutura organizada de matéria viva, controlando o que entra e sai da célula. É uma membrana formada por uma dupla camada de fosfolipídios com proteínas permeando-os. Dica 1: Para saber mais sobre a membrana plasmática, veja este super post com videoaula do professor Paulo Jubilut e dicas da professora Juliana Evelyn dos Santos: http://blogdoenem.com.br/biologia-organelas-celulares-revise-aula-khan-academy/– Citoplasma: O citoplasma é a região encontrada entre a membrana plasmática e o núcleo, formado por íons e matérias orgânicas e inorgânicas dissolvidas em água, e várias organelas. Possui um aspecto gelatinoso, ao qual também chamamos de citosol. – Núcleo: O núcleo é a estrutura característica dos eucariontes, dentro da qual estão guardados os genes no DNA (cromatina), responsáveis pela transmissão de características hereditárias e pelo controle das atividades celulares. É constituído pela cromatina, pelo nucleoplasma (espécie de citoplasma do núcleo) e pela carioteca ou membrana nuclear. Nesta estrutura pode haver um ou mais nucléolos, que correspondem a partes mais escurecidas quando visualizadas no microscópio e que são regiões onde há alta produção do RNA que forma os ribossomos – o RNAr. Dica 2: Antes de continuar revisando as organelas celulares, que tal dar uma revisada sobre o DNA? Veja este post: http://blogdoenem.com.br/biologia-khan-academy/
Organelas celulares ou citoplasmáticas:– Ribossomos: Os ribossomos são as únicas organelas citoplasmáticas presentes nos procariontes. Outra singularidade apresentada pelos ribossomos é que, ao contrário das demais organelas, não são feitos de bolsas e dobras de membrana, mas sim de RNA ribossômico (RNAr). O RNAr forma duas estruturas, chamadas de subunidades, que possuem tamanhos e densidades diferentes e que juntas formam esta organela. Os ribossomos são responsáveis pela produção de proteínas, lendo as mensagens que vêm do DNA (o RNA mensageiro) e organizando a produção das proteínas ali codificadas. Presentes também nos eucariontes, os ribossomos podem estar misturados ao citoplasma ou aderidos ao retículo endoplasmático rugoso. Figura 1: Micrografia feita com microscópio eletrônico de transmissão colorida artificialmente. Em azul podemos ver ribossomos ligados a um RNA mensageiro.
– Retículo endoplasmático: O retículo endoplasmático é um conjunto de dobras membranosas que envolvem cavidades separadas do citosol. Nestas cavidades ocorre a síntese de várias biomoléculas e o seu transporte pela célula. Há dois tipos de retículo: o retículo endoplasmático rugoso e o liso. O retículo endoplasmático rugoso (ou granuloso) possui vários ribossomos aderidos a sua parte externa. As proteínas são produzidas pelos ribossomos e encaminhadas para as cavidades internas onde estas proteínas serão empacotadas e encaminhadas para o complexo de Golgi, de onde podem ser secretadas. Já o retículo endoplasmático liso, não sintetiza proteínas, pois não tem ribossomos, porém sintetiza outras substâncias, como lipídeos, e ajudam a processar e quebrar substâncias tóxicas para a célula. Figura 2: Mirografia feita com microscópio eletrônico de transmissão. Na imagem vemos o retículo endoplasmático rugoso, nele é possível notar os ribossomos (pontinhos) aderidos.
– Complexo de Golgi ou golgiense: O complexo golgiense é formado por uma pilha de sacos achatados e pequenas vesículas arredondadas. Tem como função processar e empacotar as substâncias produzidas pelo retículo. Depois de empacotadas, o complexo de Golgi pode enviar estas substâncias para três caminhos diferentes: para a membrana, para fora da célula ou para os lisossomos a fim de abastecê-los de enzimas. Figura 3: Esquema e micrografia feita com microscópio eletrônico de transmissão de um complexo de Golgi.
– Lisossomos: O lisossomos são pequenas bolsas repletas de enzimas responsáveis por realizar digestão intracelular. No corpo humano, por exemplo, os macrófagos (células de defesa que "comem" ou fagocitam antígenos) possuem grande quantidade de lisossomos. Figura 4: Micrografoa de um eosinófilo feita com microscópio eletrônico de transmissão. É possível visualizar os lisossomos (L), as mitocôndrias (M) e o núcleo (N).
– Peroxissomos: Os peroxissomos são pequenas vesículas que participam da degradação de várias substâncias, dentre elas a água oxigenada, através de reações oxidativas. – Vacúolos: Os vacúolos são grandes cavidades envoltas de membrana, visíveis ao microscópio óptico. Existem, basicamente, três tipos: vacúolo pulsátil, presente em protozoários de água doce e responsável pelo equilíbrio osmótico; vacúolo de sulco celular, característico de células vegetais e que armazenam diversas substâncias como, por exemplo, pigmentos e substâncias energéticas; vacúolo digestivo realizam a digestão de substâncias nas células vegetais. Figura 5: Micrografia de célula vegetal feita com microscópio eletrônico de transmissão colorida artificialmente. Na imagem podemos ver os vacúolos em bege, o núcleo em rosa, os cloroplastos em verde e vermelho e as mitocôndrias em laranja.
Figura 6: Micrografia de paramécio. Indicado pela seta vermelha está o vacúolo pulsátil.
– Mitocôndrias: As mitocôndrias são organelas responsáveis pela respiração aeróbia. São elas quem, através do processo de respiração, produzem energia para a célula por meio da quebra de cadeias de carbono (como a glicose). As mitocôndrias são organelas celulares formadas por duas bolsas membranosas, uma externa que dá o formato de bastonete à organela, e outra interna que forma uma série de dobras – as cristas mitocondriais. Entre estas dobras de membrana fica a matriz mitocôndrial onde estão as enzimas responsáveis pelo processo de respiração. Além disso, na matriz há também DNA, RNA e ribossomos próprios. Estas estruturas permitem que as mitocôndrias possam se autoduplicar. Figura 7: Micrografia de mitocôndria feita com microscópio eletrônico de transmissão.
– Cloroplastos: Os cloroplastos são organelas de células vegetais, também encontradas em algas protistas. Estas organelas celulares contêm clorofila e realizam o processo de fotossíntese. São compostos por uma dupla membrana externa e internamente por uma rede de membranas que formam lamelas nas quais estão a clorofila e outros pigmentos. Parte dessas lamelas forma vesículas, os tilacóides, que ficam empilhadas, sendo que cada pilha é chamada de granun e o conjunto de granun é chamado de grana. Assim como as mitocôndrias, os cloroplastos também possuem DNA, RNA e ribossomos. Figura 8: Micrografia de cloroplastos feita com microscópio eletrônico de transmissão colorida artificialmente.
– Centríolos: Os centríolos são estruturas tubulares encontradas em células animais, onde geralmente estão formam duplas em posições perpendiculares. Estas organelas citoplasmáticas ajudam a organizar o fuso das divisões celulares. Figura 9: Mirografia feita com microscópio eletrônico de transmissão e colorida artificialmente. Na imagem vemos um par de centríolos em duas vistas diferentes: lateral e frontal. Na vista frontal é possível notar os túbulos que o formam. Em azul vemos um complexo golgiense.
– Citoesqueleto: O citoesqueleto é formado por um emaranhado de tubos ocos. Esta organela celular é responsável por manter a forma da célula, sustentar as estruturas celulares, participar de movimentos celulares como o deslocamento de organelas e cromossomos e a formação de pseudópodes. Figura 10: Micrografia de células epiteliais feita com microscópio ópitco de fluorescência. Em verde vemos o citoesqueleto marcado com substância luminescente. Em azul o núcleo.
Agora que você já sabe tudo sobre organelas celulares, que tal ver uma super videoaula? Veja este vídeo da Khan Academy que fala sobre a estrutura celular e aborda as principais organelas celulares: http://www.fundacaolemann.org.br/khanportugues//ciencias/biologia/estrutura_celular_
Conseguiu aprender um pouco mais sobre as organelas celulares? Beleza! Então, vamos exercitar?
01 – (UNESP SP/2014) A figura apresenta os esquemas de duas células.
(http://macanicacelular.webnode.com.br. Adaptado.)
Porém, o ilustrador cometeu um engano ao identificar as estruturas celulares. É correto afirmar que
a) II é uma célula vegetal e o engano está na identificação do complexo golgiense nesta célula, uma vez que este ocorre em células animais, mas não em células vegetais. b) II é uma célula animal e o engano está na identificação do vacúolo em ambas as células, além de este ser característico de células vegetais, mas não de células animais. c) II é uma célula animal e o engano está na identificação dos centríolos nesta célula, uma vez que estes são característicos de células vegetais, mas não de células animais. d) I é uma célula animal e o engano está na identificação das mitocôndrias em ambas as células, além de estas ocorrerem em células animais, mas não em células vegetais. e) I é uma célula vegetal e o engano está na identificação da membrana plasmática nesta célula, uma vez que esta ocorre em células animais, mas não em células vegetais.
Gab: B
02 – (Fac. Santa Marcelina SP/2014) O muco intestinal é um material complexo constituído principalmente por glicoproteínas (proteínas associadas a polissacarídeos), produzido e secretado por células especiais em forma de cálice. Para exercer a função secretora, as células caliciformes devem apresentar estrutura celular básica e interação entre as organelas para sintetizar, armazenar, processar, endereçar e embalar o material a ser secretado. (César da Silva Júnior et al. Biologia 1, 2010. Adaptado.)
A parte proteica e o polissacarídeo, que compõem o material a ser secretado no processo de síntese do muco intestinal, são produzidos, respectivamente,
a) nos peroxissomos e no retículo endoplasmático liso. b) no sistema golgiense e nos retículos endoplasmáticos liso e rugoso. c) nos vacúolos autofágicos e no retículo endoplasmático liso. d) no retículo endoplasmático rugoso e no sistema golgiense. e) nos lisossomos e nos ribossomos.
Gab: D
03 – (Fac. Santa Marcelina SP/2014) Estudo descrito na revista especializada Journal of Archaeological Science revela, pela análise do DNA mitocondrial de ossos das patas e da mandíbula de animais mumificados, que os gatos sagrados do Egito deixaram descendentes na população moderna dos felinos do país, que ainda carrega linhagens desse tipo de DNA presente em seus ancestrais que viveram há mais de 2000 anos. (Folha de S.Paulo, 29.10.2012. Adaptado.)
(www.museunacional.ufrj.br)
Os estudos genealógicos dos gatos sagrados do Egito foram realizados por meio da análise do DNA mitocondrial, pois este apresenta
a) material genético nuclear idêntico ao do ancestral e, por ser transmitido da mãe para os descendentes, permite a identificação das linhagens anteriores. b) pequena taxa de mutação e, por ser transmitido da mãe para os descendentes, permite traçar as linhagens ancestrais. c) pequena diversidade genética e é transmitido de pai para filho pelo cromossomo Y, garantindo o mapeamento da linhagem paterna. d) alta variabilidade genética por ser transmitido pelo cromossomo X, presente em fêmeas e machos da espécie. e) elevada taxa de recombinação gênica entre pai e mãe, o que permite traçar a linhagem ancestral completa dos gatos.
Gab: B
04 – (UECE/2014) O retículo endoplasmático e o complexo de Golgi são organelas celulares cujas funções estão relacionadas da seguinte forma: o complexo de Golgi
a) recebe proteínas sintetizadas no retículo endoplasmático. b) envia proteínas, nele sintetizadas, para o retículo endoplasmático. c) envia polissacarídeos, nele sintetizados, para o retículo endoplasmático. d) recebe monossacarídeos sintetizados no retículo endoplasmático, para o qual envia polissacarídeos.
Gab: A
05 – (UEL PR/2014) Pode-se considerar a organização e o funcionamento de uma célula eucarionte animal de modo análogo ao que ocorre em uma cidade. Desse modo, a membrana plasmática seria o perímetro urbano e o citoplasma, com suas organelas, o espaço urbano. Algumas dessas similaridades funcionais entre a cidade e a célula corresponderiam às vias públicas como sendo o retículo endoplasmático, para o transporte e a distribuição de mercadorias; os supermercados como sendo o complexo de Golgi, responsável pelo armazenamento de mercadorias, e a companhia elétrica como sendo as mitocôndrias, que correspondem à usina de força da cidade. Pode-se, ainda, considerar que a molécula de adenosina tri-fosfato (ATP) seja a moeda circulante para o comércio de mercadorias.
Assinale a alternativa que justifica, corretamente, a analogia descrita para as mitocôndrias.
a) Absorção de energia luminosa utilizada na produção de ATP. b) Armazenamento de ATP produzido da energia de substâncias inorgânicas. c) Armazenamento de ATP produzido na digestão dos alimentos. d) Produção de ATP a partir da oxidação de substâncias orgânicas. e) Produção de ATP a partir da síntese de amido e glicogênio.
Gab: D
06 – (Unicastelo SP/2014) O álcool, quando consumido com frequência, pode causar a tolerância do organismo, ou seja, doses cada vez maiores são necessárias para que ele faça efeito. Essa tolerância está associada ao aumento de
a) retículo endoplasmático liso presente nos hepatócitos. b) peroxissomos presentes nos neurônios. c) mitocôndrias presentes nos neurônios. d) ribossomos presentes nos hepatócitos. e) lisossomos presentes nas células renais.
Gab: A
07 – (Anhembi Morumbi SP/2014) Nas figuras as setas indicam estruturas relacionadas à locomoção celular.
(www.prof2000.pt)
Internamente, tais estruturas celulares são bastante semelhantes quanto à sua constituição, devido à presença de
a) mitocôndrias para produção de energia. b) membrana lipoproteica semipermeável. c) fibras de proteínas musculares contráteis. d) citoplasma com organelas celulares. e) conjuntos de microtúbulos de proteína.
Gab: E
TEXTO: 1 – Comum à questão: 8
Uma nova espécie de líquen – resultante da simbiose de um fungo e algas verdes – foi encontrado no litoral paulista. (…) O fungo Pyxine jolyana foi descrito na revista Mycotaxon. (…) uma das principais características desse fungo é a presença de ácido norstíctico no talo do líquen. Tal ácido é uma substância rara em espécies desse gênero na América do Sul. (Revista Quanta, nov/dez 2011. p. 15)
08 – (PUCCamp/SP/2013) Os centríolos são estruturas presentes na maioria das células animais, mas ausentes em alguns grupos de fungos. Essas estruturas atuam
a) na formação do crossing over. b) na transcrição do DNA nuclear. c) no emparelhamento dos cromossomos homólogos. d) na organização do fuso mitótico. e) no processo de tradução do RNA mensageiro.
Gab: D
09 – (Enem/2013) A estratégia de obtenção de plantas transgênicas pela inserção de transgenes em cloroplastos, em substituição à metodologia clássica de inserção do transgene no núcleo da célula hospedeira, resultou no aumento quantitativo da produção de proteínas recombinantes com diversas finalidades biotecnológicas. O mesmo tipo de estratégia poderia ser utilizada para produzir proteínas recombinantes em células de organismos eucarióticos não fotossintetizantes, como as leveduras, que são usadas para a produção comercial de várias proteínas recombinantes e que podem ser cultivadas em grandes fermentadores. Considerando a estratégia metodológica descrita, qual organela celular poderia ser utilizada para inserção de transgenes em leveduras?
A) Lisossomo Resolução: a) O aparelho de Golgi. b) O centríolo. c) O lisossomo. d) A mitocôndria. e) O ribossomo. Resposta: c, pois o lisossomo é a organela responsável pela digestão intracelular. Os textos e exemplos acima foram preparados pela professora Juliana Santos para o Blog do Enem. Juliana é formada em Ciências Biológicas pela Universidade Federal de Santa Catarina. Dá aulas de Ciências e Biologia em escolas da Grande Florianópolis desde 2007. Facebook: https://www.facebook.com/juliana.evelyndossantos. O post Organelas celulares: Revise com aula da Khan Academy! – Biologia Enem apareceu primeiro em Blog do Enem. |
| Progressão Aritmética (PA) – Revisão de Matemática Enem e Vestibular Posted: 22 Mar 2016 12:25 PM PDT Primeiramente vamos entender o conceito de progressão aritmética? Progressão Aritmética é toda sequência numérica em que a diferença entre um termo e o seu antecedente é constante. A essa constante dá-se o nome de razão r da PA. Ficou complicado? Vamos ver um exemplo para descomplicar… Temos uma progressão aritmética: PA (1, 5, 9, 13, 17, …) Veja que 5-1 = 9-5 = 13-9 = 17-13 = 4 Assim, temos que a razão dessa PA é igual a 4 , ou seja, r = 4 Dica 1 – O que mais cai em Matemática nos Vestibulares e no Enem? Descubra os conteúdos que mais aparecem e as melhores dicas. Vamos ver outro exemplo? PA (20, 18, 16, 14, …) Aqui também há diferença constante entre qualquer termo e seu antecedente. Veja: 18-20 = 16-18 = 14-16 = -2 = r Portanto: R=-2 Só mais um exemplo para você não esquecer: PA (5, 5, 5, 5, …) Neste caso, r = 0. Assim, podemos elaborar a seguinte classificação:
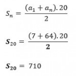
Numa PA sempre se encontram as seguintes propriedades: P1) A soma dos termos extremos é igual à soma dos termos equidistantes dos extremos. P2) Um termo central é igual à média aritmética dos equidistantes. Só vendo para crer? Então observe confirmação dessas propriedades no exemplo abaixo: PA (1, 4, 7, 10, 13, 16, 19) P1) 1+19 = 4 +16 = 7+13 P2) Dica 2 – Você já estudou sobre classificação dos ângulos? Revise tudo em mais uma aula de Matemática Enem e Vestibular.Quer saber mais sobre PA? Então assista ao resumo para o Enem do descomplica e fique fera nesse assunto. Não deixe essa chance passar! https://www.youtube.com/watch?v=Jtsr4aC-IKg Fórmula do termo geral de uma PA, você lembra o que é? É uma formula que fornece todos os termos da sequência, por exemplo: Supondo que nosso interesse seja obter o 51o da PA (2, 5, 8, …), seria muito prático usar uma fórmula para obtê-lo, não é mesmo? Vamos à fórmula: an=a1 +(n-1).r Considere uma PA qualquer Voltando à pergunta "Qual o 51o da PA (2, 5, 8, …)?", observe que: a51 = a1 + (n-1)r a51 = 2 + (51-1).3 a51 = 152 E se você precisar calcular todos os termos de uma PA? Vamos lá… Você pode utilizar a fórmula da soma dos termos de uma PA: Veja um exemplo: Qual a soma dos 20 primeiros termos da P.A (7,10,13…)? Primeiramente você precisa saber qual o valor do vigésimo termo da PA, para tanto, usaremos a fórmula do termo geral: a20 = a 1 + (n-1).r Agora a soma dos termos: Você consegue resolver este exercício? Então resolva e coloque um comentário no post, logo abaixo, explicando o seu raciocínio e apontando a alternativa correta para cada questão. Quem compartilha a resolução de um exercício ganha em dobro: ensina e aprende ao mesmo tempo. Ensinar é uma das melhores formas de aprender! (Enem, 2011) O número mensal de passagens de uma determinada empresa aérea aumentou no ano passado nas seguintes condições: em janeiro foram vendidas 33.000 passagens; em fevereiro, 34.500; em março, 36.000. Esse padrão de crescimento se mantém para os meses subsequentes. Quantas passagens foram vendidas por essa empresa em julho do ano passado? a) 38 000 Resposta:d Os textos e exemplos de apresentação desta aula foram preparados pela professora Munique Dias para o Blog do Enem. Munique é formada em química pela UFSC, tem mestrado e atualmente cursa o doutorado em Engenharia. Química, também pela UFSC. Facebook: https://www.facebook.com/MuniqueDias . O post Progressão Aritmética (PA) – Revisão de Matemática Enem e Vestibular apareceu primeiro em Blog do Enem. |
| You are subscribed to email updates from Blog do Enem. To stop receiving these emails, you may unsubscribe now. | Email delivery powered by Google |
| Google Inc., 1600 Amphitheatre Parkway, Mountain View, CA 94043, United States | |



0 comentários:
Postar um comentário